Bromine Water And Hexane Chemical Equation . Alkenes react in the cold with pure liquid bromine, or with a solution of bromine in an organic solvent like tetrachloromethane. Reaction of bromine water with cyclohexene. for reactions in which bromine or iodine are suspected to have formed, the reaction could be repeated with 2 cm 3 of each solution in a test tube, and hexane could then be. In second step of the mechanism, both h 2 o. this page gives you the facts and a simple, uncluttered mechanism for the electrophilic addition reactions between. the halogenation of alkenes. figure 10.4e formation of halohydrin figure 10.4f mechanism:
from www.toppr.com
the halogenation of alkenes. figure 10.4e formation of halohydrin figure 10.4f mechanism: this page gives you the facts and a simple, uncluttered mechanism for the electrophilic addition reactions between. Alkenes react in the cold with pure liquid bromine, or with a solution of bromine in an organic solvent like tetrachloromethane. for reactions in which bromine or iodine are suspected to have formed, the reaction could be repeated with 2 cm 3 of each solution in a test tube, and hexane could then be. In second step of the mechanism, both h 2 o. Reaction of bromine water with cyclohexene.
What happens when phenol reacts with bromine water?Write the chemical equations involved in the
Bromine Water And Hexane Chemical Equation for reactions in which bromine or iodine are suspected to have formed, the reaction could be repeated with 2 cm 3 of each solution in a test tube, and hexane could then be. In second step of the mechanism, both h 2 o. Reaction of bromine water with cyclohexene. Alkenes react in the cold with pure liquid bromine, or with a solution of bromine in an organic solvent like tetrachloromethane. figure 10.4e formation of halohydrin figure 10.4f mechanism: for reactions in which bromine or iodine are suspected to have formed, the reaction could be repeated with 2 cm 3 of each solution in a test tube, and hexane could then be. this page gives you the facts and a simple, uncluttered mechanism for the electrophilic addition reactions between. the halogenation of alkenes.
From ahmedghopkaufman.blogspot.com
Cyclohexane Reaction With Bromine Bromine Water And Hexane Chemical Equation for reactions in which bromine or iodine are suspected to have formed, the reaction could be repeated with 2 cm 3 of each solution in a test tube, and hexane could then be. this page gives you the facts and a simple, uncluttered mechanism for the electrophilic addition reactions between. In second step of the mechanism, both h. Bromine Water And Hexane Chemical Equation.
From www.numerade.com
SOLVED Equation Test general equation.(0.5 point) 2.Eugenol has double bond and Phenolic OH Bromine Water And Hexane Chemical Equation for reactions in which bromine or iodine are suspected to have formed, the reaction could be repeated with 2 cm 3 of each solution in a test tube, and hexane could then be. Alkenes react in the cold with pure liquid bromine, or with a solution of bromine in an organic solvent like tetrachloromethane. figure 10.4e formation of. Bromine Water And Hexane Chemical Equation.
From www.numerade.com
SOLVED Three compounds that are fairly typical of pure liquid substances include bromine (Br2 Bromine Water And Hexane Chemical Equation this page gives you the facts and a simple, uncluttered mechanism for the electrophilic addition reactions between. the halogenation of alkenes. Alkenes react in the cold with pure liquid bromine, or with a solution of bromine in an organic solvent like tetrachloromethane. figure 10.4e formation of halohydrin figure 10.4f mechanism: In second step of the mechanism, both. Bromine Water And Hexane Chemical Equation.
From www.numerade.com
SOLVED Using condensed structure, write the balanced chemical equation for bromination reaction Bromine Water And Hexane Chemical Equation the halogenation of alkenes. for reactions in which bromine or iodine are suspected to have formed, the reaction could be repeated with 2 cm 3 of each solution in a test tube, and hexane could then be. Alkenes react in the cold with pure liquid bromine, or with a solution of bromine in an organic solvent like tetrachloromethane.. Bromine Water And Hexane Chemical Equation.
From chemistry.stackexchange.com
organic chemistry Bromination of hexene in presence of UV light or heat Chemistry Stack Exchange Bromine Water And Hexane Chemical Equation In second step of the mechanism, both h 2 o. for reactions in which bromine or iodine are suspected to have formed, the reaction could be repeated with 2 cm 3 of each solution in a test tube, and hexane could then be. figure 10.4e formation of halohydrin figure 10.4f mechanism: the halogenation of alkenes. Reaction of. Bromine Water And Hexane Chemical Equation.
From www.chegg.com
Solved Write the chemical equation describing the complete Bromine Water And Hexane Chemical Equation In second step of the mechanism, both h 2 o. for reactions in which bromine or iodine are suspected to have formed, the reaction could be repeated with 2 cm 3 of each solution in a test tube, and hexane could then be. figure 10.4e formation of halohydrin figure 10.4f mechanism: Reaction of bromine water with cyclohexene. . Bromine Water And Hexane Chemical Equation.
From www.quora.com
What is the chemical equation of the reaction between hexane and bromine water? Quora Bromine Water And Hexane Chemical Equation for reactions in which bromine or iodine are suspected to have formed, the reaction could be repeated with 2 cm 3 of each solution in a test tube, and hexane could then be. the halogenation of alkenes. Alkenes react in the cold with pure liquid bromine, or with a solution of bromine in an organic solvent like tetrachloromethane.. Bromine Water And Hexane Chemical Equation.
From www.toppr.com
What happens when phenol reacts with bromine water?Write the chemical equations involved in the Bromine Water And Hexane Chemical Equation Alkenes react in the cold with pure liquid bromine, or with a solution of bromine in an organic solvent like tetrachloromethane. In second step of the mechanism, both h 2 o. figure 10.4e formation of halohydrin figure 10.4f mechanism: for reactions in which bromine or iodine are suspected to have formed, the reaction could be repeated with 2. Bromine Water And Hexane Chemical Equation.
From www.slideserve.com
PPT A3.2 Hexane and Bromine PowerPoint Presentation, free download ID376471 Bromine Water And Hexane Chemical Equation this page gives you the facts and a simple, uncluttered mechanism for the electrophilic addition reactions between. Reaction of bromine water with cyclohexene. the halogenation of alkenes. Alkenes react in the cold with pure liquid bromine, or with a solution of bromine in an organic solvent like tetrachloromethane. In second step of the mechanism, both h 2 o.. Bromine Water And Hexane Chemical Equation.
From www.numerade.com
SOLVED Draw the STRUCTURAL FORMULA for Hexene and Hexane. Hexene. Hexane. Which ONE of these Bromine Water And Hexane Chemical Equation figure 10.4e formation of halohydrin figure 10.4f mechanism: Reaction of bromine water with cyclohexene. the halogenation of alkenes. Alkenes react in the cold with pure liquid bromine, or with a solution of bromine in an organic solvent like tetrachloromethane. for reactions in which bromine or iodine are suspected to have formed, the reaction could be repeated with. Bromine Water And Hexane Chemical Equation.
From fphoto.photoshelter.com
science chemistry experiment solubility Fundamental Photographs The Art of Science Bromine Water And Hexane Chemical Equation In second step of the mechanism, both h 2 o. the halogenation of alkenes. Reaction of bromine water with cyclohexene. for reactions in which bromine or iodine are suspected to have formed, the reaction could be repeated with 2 cm 3 of each solution in a test tube, and hexane could then be. Alkenes react in the cold. Bromine Water And Hexane Chemical Equation.
From www.nagwa.com
Question Video Describing the Reaction of Phenol and Alkenes with Bromine Water Nagwa Bromine Water And Hexane Chemical Equation In second step of the mechanism, both h 2 o. for reactions in which bromine or iodine are suspected to have formed, the reaction could be repeated with 2 cm 3 of each solution in a test tube, and hexane could then be. the halogenation of alkenes. Alkenes react in the cold with pure liquid bromine, or with. Bromine Water And Hexane Chemical Equation.
From www.coursehero.com
[Solved] Bromine water (golden yellow solution) and the purple potassium... Course Hero Bromine Water And Hexane Chemical Equation Alkenes react in the cold with pure liquid bromine, or with a solution of bromine in an organic solvent like tetrachloromethane. the halogenation of alkenes. for reactions in which bromine or iodine are suspected to have formed, the reaction could be repeated with 2 cm 3 of each solution in a test tube, and hexane could then be.. Bromine Water And Hexane Chemical Equation.
From scienceready.com.au
Bromine Water Test Science Ready Bromine Water And Hexane Chemical Equation for reactions in which bromine or iodine are suspected to have formed, the reaction could be repeated with 2 cm 3 of each solution in a test tube, and hexane could then be. figure 10.4e formation of halohydrin figure 10.4f mechanism: Alkenes react in the cold with pure liquid bromine, or with a solution of bromine in an. Bromine Water And Hexane Chemical Equation.
From mungfali.com
Hexene And Bromine Reaction Bromine Water And Hexane Chemical Equation the halogenation of alkenes. for reactions in which bromine or iodine are suspected to have formed, the reaction could be repeated with 2 cm 3 of each solution in a test tube, and hexane could then be. Reaction of bromine water with cyclohexene. figure 10.4e formation of halohydrin figure 10.4f mechanism: In second step of the mechanism,. Bromine Water And Hexane Chemical Equation.
From www.numerade.com
SOLVED Consider the mechanism for the reaction of cyclohexene and bromine at 5 C in CCl . The Bromine Water And Hexane Chemical Equation Reaction of bromine water with cyclohexene. Alkenes react in the cold with pure liquid bromine, or with a solution of bromine in an organic solvent like tetrachloromethane. figure 10.4e formation of halohydrin figure 10.4f mechanism: In second step of the mechanism, both h 2 o. for reactions in which bromine or iodine are suspected to have formed, the. Bromine Water And Hexane Chemical Equation.
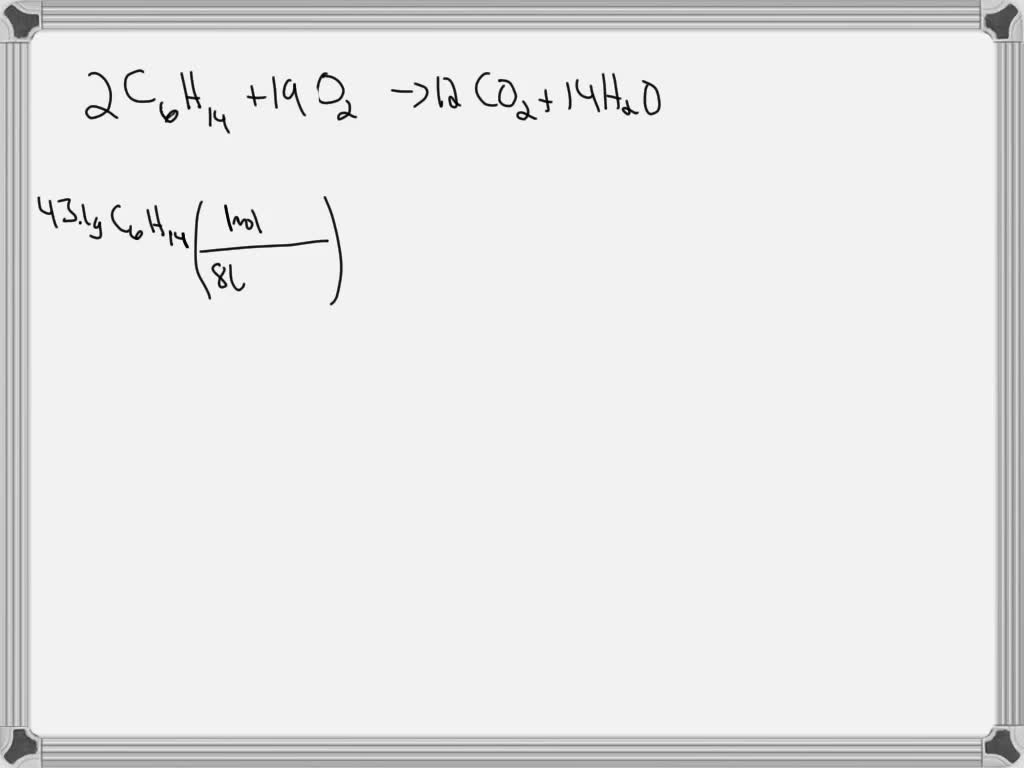
From www.numerade.com
SOLVED When hexane (C6H14) reacts with oxygen, a combustion reaction occurs. This reaction Bromine Water And Hexane Chemical Equation Reaction of bromine water with cyclohexene. for reactions in which bromine or iodine are suspected to have formed, the reaction could be repeated with 2 cm 3 of each solution in a test tube, and hexane could then be. figure 10.4e formation of halohydrin figure 10.4f mechanism: this page gives you the facts and a simple, uncluttered. Bromine Water And Hexane Chemical Equation.
From www.nagwa.com
Question Video Identifying the Correct Description for Bromine Dissolving In Hexane Nagwa Bromine Water And Hexane Chemical Equation Reaction of bromine water with cyclohexene. the halogenation of alkenes. In second step of the mechanism, both h 2 o. this page gives you the facts and a simple, uncluttered mechanism for the electrophilic addition reactions between. figure 10.4e formation of halohydrin figure 10.4f mechanism: for reactions in which bromine or iodine are suspected to have. Bromine Water And Hexane Chemical Equation.